首页
学科介绍
学科制度
学科平台
师资队伍
人才培养
成果展示
学术交流
下载中心
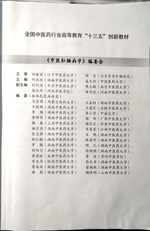
何永恒中医肛肠病学
2019年12月25日 11:59 点击:[]
上一条:
《中西医结合皮肤性病学》“十三五”教材杨志波副主编
下一条:
晏峻峰《医药信息处理与分析》
【
关闭
】
版权所有:半岛手机版官网登录 中医学学科网
技术支持:西安恒远翼展信息技术有限公司
map